近日,物理与光电工程学院物理学系龙高平副教授在国际著名期刊《Advanced Science》(中科院一区期刊)上发表文章《Shannon Entropy of Gray Matter Eigenmodes: A Novel Biomarker for Alzheimer's Disease and Heterogeneous MCI Trajectories》。该研究由龙高平副教授与北京师范大学张占军教授、李馨教授及李禹蒙博士共同合作完成。龙高平副教授为论文共同第一作者。


图1.文章发表页面截图
阿尔茨海默病(AD)是一种高发神经退行性疾病。但目前的诊断方法主要依赖晚期认知评估或侵入性脑脊液检测,受限于有创性、高成本和可及性低等问题,因此开发无创、高灵敏度的早期筛查技术,对明确有效治疗的干预窗口至关重要。神经成像已成为AD和认知障碍早期检测的潜在无创生物标志物。目前主流范式聚焦于白质连接与静息态功能连接的关联建模,这种以白质为中心的结构-功能耦合(SFC)框架在早期AD筛查中面临挑战。白质连接组预测功能连接模式的准确性较低,且主要描述长距离区域间通信通路,忽略了局部微电路水平灰质微观结构和几何形状的关键物理约束,而早期AD病理始于灰质微环境,远早于广泛白质变性出现。在本文的研究中,我们转向关注灰质结构与脑功能的动态相互作用,基于灰质几何的本征模展开方法成为重要研究方向。《自然》近期研究表明,源于灰质几何形状而非白质连接的本征模,能有效解释和预测大规模脑功能活动,这一结果挑战了白质连接组决定功能的传统研究范式。由于早期AD病理始于灰质微环境,灰质本征模作为脑功能的约束条件,可能更易捕捉AD进展相关的细微改变。
本文基于这一新的研究范式,提出两种基于灰质几何的本征模的新型SFC指标。一是功能在本征模上分布的熵:将静息态fMRI时间序列投影到灰质本征模的基底上,计算各模式的激活系数,并进一步计算这些系数的香农熵,从而量化功能活动在本征模上的分散程度;熵值越低表示活动集中于少数模式(有序状态),越高表示功能分散于更多模式(无序分布状态)。二是基于各阶灰质本征模重建全脑功能连接矩阵,根据重构精度定义的温度:计算按频率排序的本征模重建全脑功能连接矩阵的预测准确性,将计算结果拟合为指数分布的累积分布函数,温度则由指数衰减系数决定:衰减越陡(温度越低)表示低频模式主导功能结构,衰减越平缓(温度越高)表示高频模式贡献越大。这些新的指标为量化基于灰质几何形状的结构---功能关系提供了系统且可解释的框架。

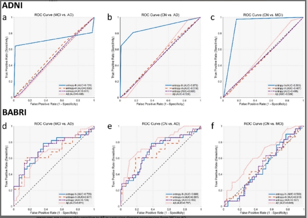
图2.熵指标在两个队列不同疾病进展阶段的诊断分类效能
本研究通过两个多模态队列(BABRI:N=135;ADNI:N=275)初步验证了上述指标区分正常与病理性衰老的能力。我们假设病理性衰老个体的脑系统动态紊乱更显著,并且上述指标对临床前AD检测灵敏度更高、机制洞察力更强。特别地,鉴于香农熵对皮层网络紊乱的反应超出常规的结构或功能测量,我们旨在将其确立为一种新型的非侵入性生物标志物,用于追踪AD的发展。为了进一步解决MCI异质性问题,我们基于熵变化的纵向轨迹,将临床定义的MCI病例分为逆转型、稳定型和进展型亚型。
这项多队列研究将香农熵确立为阿尔茨海默病(AD)病理学的稳健、两用的生物标志物,在诊断分类和病理预测方面都显示出显著的效果。熵指标在BABRI和ADNI队列中始终将AD与NC和MCI区分开来,其中左半球熵是神经退行性疾病分期的最佳分类指标,而右半球熵主导淀粉样β蛋白(Aβ)负荷预测。此外,熵能够将临床定义的MCI分为生物学上不同的亚型,并揭示了MCI到AD转换的特征。熵相对于Aβ-PET的优势和对人口统计学混淆的抵抗力使其成为一种成本效益高、无创的工具,可以用于早期风险分层和识别MCI轨迹的演化倾向,从而实现精确的神经调节。
龙高平副教授近期的研究方向包括量子引力、量子黑洞和微分几何与数理统计在大脑影像分析中的应用。 本次研究工作得到了国家自然科学基金项目的资助。
论文链接:https://doi.org/10.1002/advs.202511614
图文:龙高平
校对:陈科球
初审:黄晶晶
终审:幸江涛