近日,物理与光电工程学院物理学系青蓝学者胡训武博士与合作者在中科院一区,物理类TOP期刊《communications physics》上发表以“Electronic structures and multi-orbital models of La3Ni2O7 thin films at ambient pressure”为题的研究成果。中山大学物理学院姚道新教授为该论文的通讯作者,胡训武博士为论文共同第一作者,暨南大学物理学系为第一完成单位。

图1.文章发表页面截图
自2023年在高压条件下发现La₃Ni₂O₇体系近80 K的超导电性以来,双层镍酸盐迅速成为高温超导研究领域的研究热点。然而,高压条件在一定程度上限制了相关实验的深入开展。近期,在常压条件下,La₃Ni₂O₇及(La, Pr)₃Ni₂O₇薄膜材料中观测到超导转变温度超过40 K的现象,这一重要进展为镍基高温超导机理研究提供了新的突破口。
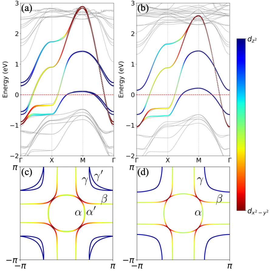
围绕这一关键实验发现,研究团队基于第一性原理计算,系统研究了La₃Ni₂O₇薄膜的电子结构与磁性起源。通过密度泛函理论(DFT),构建基于Ni–eg轨道的双层堆叠两轨道有效模型,成功描述了该体系的低能电子特性。研究发现,薄膜体系的费米面由三个电子型口袋和两个空穴型口袋构成,其中由层间相互作用引入的、不同于体块材料的费米面结构,对低能物理性质具有重要影响。
在此基础上,研究人员进一步建立了一个包含氧p轨道的高能有效模型,为研究多轨道效应和强电子关联问题提供了更完整的理论框架。通过随机相近似(RPA)计算自旋磁化率,结果表明:由Ni的dz²轨道主导的费米面嵌套显著增强了体系的磁关联效应,为理解镍酸盐薄膜中磁涨落与超导电性之间的关系提供了重要理论依据。

图2. La3Ni2O7薄膜双层两轨道模型能带结构和费米面
该研究从理论上深化了对La₃Ni₂O₇薄膜电子结构与磁性行为的认识,为进一步揭示镍基高温超导机理奠定了坚实基础。
论文链接:https://www.nature.com/articles/s42005-025-02411-8#citeas
图文:胡训武
校对:陈科球
初审:黄晶晶
终审:幸江涛